近日,浙江师范大学物理与电子信息工程学院Kashif Ammar Yasir外教与中国科学院物理研究所刘伍明教授合作,在国际知名期刊NPJ Quantum Materials上发表了题为“Steering entanglement through exceptional points in non-Hermitian cavity magnomechanics(通过非厄米腔磁声学系统中的奇异点调控纠缠)”的研究成果,展示了在混合磁子–光子–声子系统中实现PT对称性调控及奇异点介导纠缠操控的突破性进展。浙江师范大学为第一署名单位。

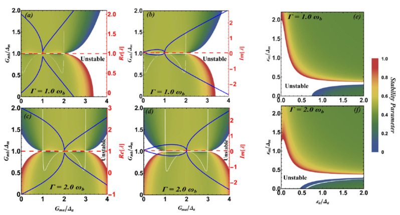
本研究聚焦于一种非厄米腔磁声学系统,其中磁子、光子和声子在包含YIG球体的微波腔中发生三模混合。磁场驱动YIG球体产生磁子,磁子通过磁偶极耦合与腔光子相互作用,并通过磁致伸缩效应与声子耦合。研究通过引入一束行进光场在系统中构建可调节的增益–损耗不平衡,从而在实验上精确进入PT对称和PT破缺的动态区域,实现了对增益幅度与入射角度的可控调节。
该系统呈现出一个令人瞩目的三阶奇异点,仅在非厄米强度与磁子–光子耦合完全匹配时出现。此奇异点标志着从受保护的PT对称相(所有本征频率均为实数)到双破缺PT相的转变,在后者中一个混合模保持为实频,而另外两个模式形成复共轭对。随着非厄米参数的变化,奇异点的位置可被连续调控,说明增益–损耗工程能够动态重塑系统的本征模拓扑结构。同时,Petermann因子的发散进一步验证了奇异点附近本征矢量的塌缩行为,体现了高阶非厄米简并所具有的极端敏感性。

更为重要的是,系统的PT相直接决定了磁子、光子与声子之间的量子纠缠性质。在PT未破缺区域中,纠缠表现稳定;而在PT破缺区域,纠缠强度显著增强,但同时伴随更大的波动,尤其体现在光子–磁子通道。接近奇异点时,系统能够通过混合模的调整实现量子关联在不同子系统间的可控交换,展示了非厄米调控在实现纠缠重分布方面的独特作用。研究结果表明,PT对称性和奇异点为腔磁声学平台上的纠缠调控和量子关联工程提供了强大的理论与技术手段。
NPJ Quantum Materials 作为Nature出版集团旗下的权威期刊(中科院一区,影响因子6.2),持续聚焦量子物质的前沿探索,为超导、拓扑材料及强关联体系等突破性研究提供国际展示平台,是连接基础科学革命与未来量子技术应用的重要桥梁。
自入职浙江师范大学物理与电子信息工程学院以来,Kashif Ammar Yasir已发表多篇高水平论文,并成功获得国家级和省级科研资助。